IPC-TM-650 EN 2022 试验方法.pdf - 第178页
4.4 Test Procedure 4.4.1 Carefully preclean all plasticware with deionized water (16 M Ω -cm resistivity minimum) followed by a final rinse with the extraction test solution. 4.4.2 Determine the surface area per Section …

extraction solution before measuring the resistivity of the com-
posite sample.
4.2 Test Equipment and Chemicals
4.2.1
Miscellaneous laboratory ware (e.g., beakers, funnels,
storage bottles and graduated cylinders). This plastic ware
can be high density polyethylene, polymethylpentene (poly-
pentene), polypropylene or equivalent. Glassware cannot be
used because it has been shown to contribute ionic contami-
nation in a short time with this 2-propanol/DI water solution.
4.2.2 Conductivity bridge or equivalent conductivity probe
and temperature compensated liquid conductivity cell appara-
tus capable of measuring specific resistivities within a range
covering at least 100 kΩ-cm to 20 MΩ-cm.
4.2.3 Deionization column. Up to 100% solvent compatible
mixed bed or equivalent.
Note: Some of these columns are color dyed. This dye will
interfere with test results. Make certain that the column used
has no dye.
4.2.4 Electronic Grade 2-Propanol (isopropyl alcohol) or
99.5% purity minimum
4.2.5 Deionized water (DI water), preferably above 16
MΩ-cm water resistivity
Note: It is critical to always use wash solution with the same
composition of 2-propanol/DI water for all comparative data
discussions.
4.2.6 Wash solution composed of 75 ± 2% v/v 2-propanol/
DI water or 50 ± 2% v/v 2-propanol/DI water. This wash solu-
tion must be deionized to a resistance equal to or greater than
16 MΩ-cm (conductivity less than 0.0625 µS/cm). If stored,
this wash solution must be freshly deionized prior to use. Typi-
cal resistivity of 25 MΩ-cm (conductivity of 0.04 µS/cm) can
be achieved. Measurement of the 2-propanol/DI water solu-
tion should be performed using a calibrated hydrometer. The
default extract solution composition is 75 ± 2% v/v
2-propanol/DI water.
4.3 Calibration of Bridge This is essential in the manual
method because there can be no correlation between
resistivity/conductivity readings and NaCl equivalents without
calibration. All future specification requirements are to be
stated in maximum micrograms of NaCl equivalent per square
centimeter (µg NaCl Eq./cm
2
).
Note: Ensure that a proper cell constant value is considered
in any conductivity calculations. Check the specific conductiv-
ity bridge manufacturer’s manual for this detail.
4.3.1 Prepare or purchase (these standard solutions are
available from equipment vendors, as well as many of the
chemical companies) a standard NaCl solution from a weight
of ACS reagent grade NaCl salt dissolved in deionized water
(16 MΩ-cm resistivity minimum) to produce a final diluted con-
centration of 0.06 g/liter NaCl (5 mL contains 300 µg NaCl).
Note: It is recommended that dry NaCl be used for this solu-
tion. A recommended drying exposure is one hour at 105 °C
or higher.
4.3.2 Place one liter of the 2-propanol/DI water solution (at
the calibration temperature of the bridge in use) in a plastic
beaker.
Note: The 75%/25% v/v or 50%/50% v/v 2-propanol/DI
water solution must be used in this calibration. Water cannot
be used since it is not the test solution used in the procedure.
The test solution used in this calibration should be made fresh
daily.
4.3.3 From a 50 mL burette, add to the liter of test solution,
5 mL of the standard 0.06 g/liter NaCl solution. Stir and mea-
sure resistivity/conductivity.
Note: If the resistivity is measured, convert to conductivity by
take the reciprocal, prior to plotting the data.
4.3.4 From a 50 mL burette, add to the liter of test solution,
20 additional mL of the standard 0.06 g/liter NaCl solution, for
a total of 25 mL. Stir and measure resistivity/conductivity.
4.3.5 From a 50 mL burette, add to the liter of test solution,
25 additional mL of the standard 0.06 g/liter NaCl solution, for
a total of 50 mL. Stir and measure resistivity/conductivity.
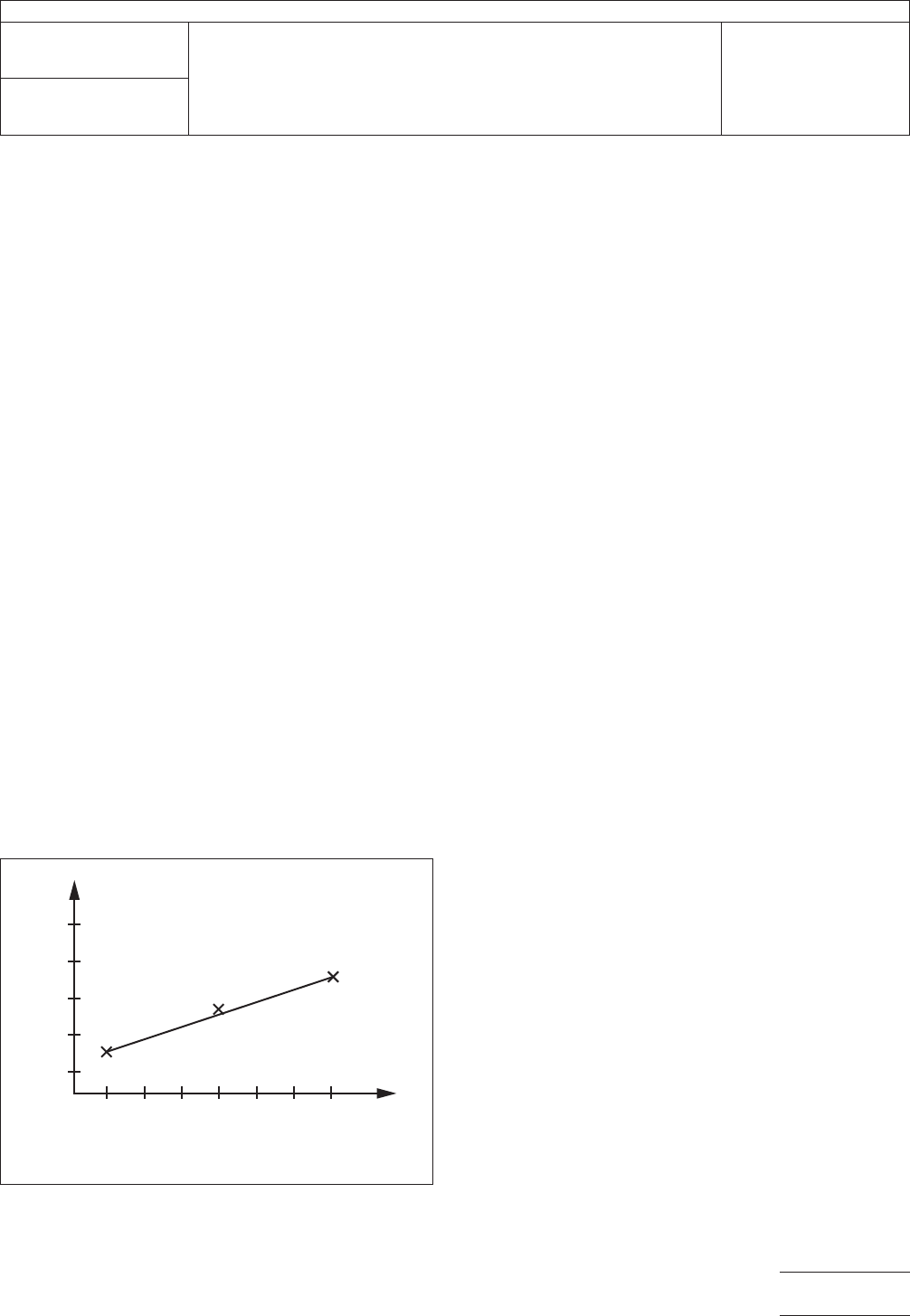
4.3.6 Plot a three-point nomogram of Conductivity vs.
µg/liter of NaCl. A linear relationship is expected with the use
of a linear regression best fit line through the data points. If a
multi-range meter is used the curve should not be extended
beyond the maximum reading of the meter for that range,
unless linearity is proven by additional points obtained by add-
ing more standard salt solution. The nomogram will never
cross the zero point of conductivity.
Note: An R
2
value of 0.99 should be expected before the
instrument would be considered calibrated.
IPC-TM-650
Number
2.3.25
Subject
Detection and Measurement of Ionizable Surface Contaminants by
Resistivity of Solvent Extract (ROSE)
Date
11/12
Revision
D
Page2of5

4.4 Test Procedure
4.4.1
Carefully preclean all plasticware with deionized water
(16 MΩ-cm resistivity minimum) followed by a final rinse with
the extraction test solution.
4.4.2 Determine the surface area per Section 3.
4.4.3 Suspend the test specimen within an appropriately
sized funnel positioned over a graduated cylinder. Use clean
gloves when handling the samples to be tested.
4.4.4 Prepare the extraction solution volume using a general
ratio of no more than 10 mL: 1 cm
2
of area. Direct a fine
stream of freshly-deionized test solution on both sides of the
specimen, covering all board and component surfaces. Con-
tinue this process, slowly collecting the extraction solution.
The volume collected is not critical, but the total collected vol-
ume must be exactly recorded. A volume correction is made
in the calculation.
4.4.5 Pour the final measured volume into a plastic ware
beaker, stir and measure the resistivity/conductivity with either
a bridge probe or equivalent conductivity probe.
4.4.6 The resistivity/conductivity readings can be used to
convert the µg NaCl equivalent as follows:
1. Locate where the resistivity or conductivity intersects the
calibration curve on the X-axis (see Figure 1).
2. Extend a vertical line from the point of intersection to the
x-axis. Read and record µg/liter NaCl (M).
3. Multiply the concentration in µg/liter NaCl by the total liters
of test solution used (V). This result indicates the total µg of
NaCl equivalents removed from the printed wiring board
(T).
T=MxV
Where:
T = the numerical value of the total amount of NaCl equiva-
lents removed from the printed board, expressed in micro-
gram (µg);
M = the numerical value of the NaCl concentration of test
solution, expressed in microgram per liter (µg/L);
V = the numerical value of the total volume of test solution,
expressed in liter (L)
4. Divide the micrograms of NaCl equivalents by the area of
the printed wiring board or assembly (A). This yields the
conductivity factor in µg NaCl Eq./cm
2
.
T/A = µg NaCl Eq./cm
2
Note: If samples read over the highest standard the sample
should be diluted by a known factor, retested and calculations
adjusted accordingly.
5 Dynamic Extraction Method
5.1 Description
In the dynamic method, a purified
2-propanol/DI water mixture is circulated into and out of a test
tank chamber containing the sample being tested. The mix-
ture exiting the test tank is passed through a conductivity cell
which measures the conductivity continuously. These conduc-
tivity values are integrated over the time of the extraction. The
mixture is then pumped through a resin deionization column
before it is recirculated back into the test tank. As ionic mate-
rials are extracted from the samples and then pumped out of
the cell, the conductivity of the solution will change dynami-
cally until all of the extractable ionic material has been
removed.
5.2 Test Equipment Dynamic conductivity measurement
system includes a test tank, a temperature compensated con-
ductivity cell, ion exchange columns and a metering pump
connected together in a recirculating loop as described in 5.1.
The conductivity readings are integrated over the time of the
measurement by electronic integration. The equipment may
have the capability of heating the 2-propanol/DI water mixture
IPC-2325d-1
Figure 1 Nomogram of Conductivity vs Solution
Concentration
Conductivity
Solution Concentration
in micrograms NaCl/Liter
IPC-TM-650
Number
2.3.25
Subject
Detection and Measurement of Ionizable Surface Contaminants by
Resistivity of Solvent Extract (ROSE)
Date
11/12
Revision
D
Page3of5

to accelerate extraction of ionic soils from poorly accessible
places such as under surface mounted components.
5.3 Procedure
5.3.1 Solvent Systems
Industry has established two differ-
ent standard test solutions that are used worldwide:
75 % / 25 %, nominal v/v 2-propanol/DI water
50 % / 25 %, nominal v/v 2-propanol/DI water
Select the solution required by the specification (e.g., industry
standards, engineering drawing specifications, contract docu-
mentation, etc.).
5.3.2 Determine the surface area per Section 3.
5.3.3 Calibration Once the fluid in the system has estab-
lished a stable level of conductivity, a precise quantity of a
sodium chloride calibration solution is injected into the test
solution in the test tank. This is done according to the calibra-
tion instructions provided by the manufacturer of the equip-
ment.
Note: System calibration should be verified daily, when used.
5.3.4 Testing Once the system has been calibrated or veri-
fied in accordance with 5.3.3, immerse the test specimen into
the sample tank. The test time should be in accordance with
the monitoring plan criteria (set time or auto-shutoff). Use
clean gloves when handling the samples to be tested. Finger
dirt contains ionic soils which may contribute to false read-
ings. During the course of the measurement, the conductivity
will rise from the initial baseline level and then gradually return.
When it has returned to the baseline level, no additional ionic
material can be removed and the measurement is complete.
5.4 Interpretation of Test Data The number obtained
from this type of measurement indicates the total amount of
ionic material extracted from the entire sample in terms of
equivalent amounts of sodium chloride (assuming the calibra-
tion was done with sodium chloride). This should be divided
by the total surface area of the sample from which the ions
were extracted to determine the surface ionic density of the
original sample.
Important Parameters The following parameters must be
specified:
a) Solvent composition
b) Solvent volume for static method or flow rate for dynamic
method
c) Test temperature
d) Calibration of system
e) Sample area calculation
f) Test time
g) Equipment type and model number
The actual surface ionic density is most commonly calculated
by programming the area into the instrument’s microproces-
sor system. The total ionic amount will then be automatically
divided by the area to indicate surface ionic density in terms
of micrograms of sodium chloride equivalence per unit of sur-
face area (µg NaCl eq./cm
2
).
6 Static Extraction Method
6.1 Description
In the static extraction method, a mea-
sured volume of freshly deionized 2-propanol/DI water mixture
is introduced into the test tank and its resistivity (or conductiv-
ity) measured continuously while the 2-propanol/DI water mix-
ture is agitated. Once the system has been calibrated or veri-
fied in accordance with 6.3.3 and solution has been run
through the ion exchange columns, the test specimen is
immersed into the tank. The test time should be in accor-
dance with the monitoring plan criteria (set time or auto-
shutoff). Care must be taken not to handle the sample or any
of the appliances used to insert it into the tank. Finger dirt
contains ionic soils which may contribute to spurious read-
ings. During the course of the measurement, the conductivity
will rise from the initial baseline and then level off. When it has
stabilized and no additional ionic material can be removed
then the measurement is complete. After the test is completed
the solvent mixture is passed through ion exchange columns
to remove ionic materials and regenerate the 2-propanol/DI
water solvent mixture to its original high resistivity level for fur-
ther tests.
6.2 Test Equipment A static conductivity measurement
system includes a test tank, a temperature-compensated
conductivity cell and monitor, means for solution agitation and
a means for removing, deionizing and re-introducing the sol-
vent mixture into the test tank before a new test is started.
The equipment may also have the capability of heating the
2-propanol/DI water mixture to accelerate and improve the
efficiency of extraction of ionic material from poorly accessible
regions, such as under surface-mounted components.
6.3 Procedure
6.3.1 Solvent Systems
See 5.3.1.
IPC-TM-650
Number
2.3.25
Subject
Detection and Measurement of Ionizable Surface Contaminants by
Resistivity of Solvent Extract (ROSE)
Date
11/12
Revision
D
Page4of5