IPC-TM-650 EN 2022 试验方法.pdf - 第499页
7 mm calibration kit or equivalent) in accordance with the manufacturer specification for the network analyzer. After cali- bration verify the following: • The Open Standard produces an ‘open trace’ on the Smith Chart. •…

7.2).
The diameter of the dielectric should be equal to the
diameter of the bottom electrode.
4.1.1
Preparation of the Test Specimen from Metal Clad
Laminates
The
metal cladding should be removed from the
dielectric, unless the thickness of the conductor is already
within the recommended range of 0.1 µm to 0.5 µm. The sur-
faces of the bare dielectric should be cleaned from conduct-
ing contaminants such as traces of ions to avoid possible
corrosion of sputtered thin film metals, by rinsing in deionized
water, drying, and then remetalizing by sputtering with copper
or gold (see 4.1).
4.1.2
Thin Dielectric Films that are Not Free-Standing
and Require Support
The
supporting conductor can be
used as the bottom electrode of the specimen. The topside
conductor should be removed and then the top surface of the
dielectric should be recoated to make the top electrode (see
4.1). The thickness of the bottom conductor can be compen-
sated during measurements by adding an equivalent electrical
delay (see 6.3.1).
5
Test Fixture
The
test fixture consists of two Sections A
and B, where the specimen is placed in between, as shown in
Figure 1. The detailed drawings are given in Section 11. Sec-
tion A is an APC-7 to an APC-3.5 microwave adapter with
characteristic impedance of 50 Ω (Agilent 1250-1746). Sec-
tion B is an altered APC-7 short termination (Agilent 04191-
85300 or equivalent may be used), with a custom-machined
gap to accommodate a specimen of particular thickness.
When Sections A and B are assembled, the depth, d,ofthe
gap is equal to the specimen thickness. Specimens with dif-
ferent thickness will require separate Sections B. In the case
of a specimen thinner than 10 µm, the center conductor of the
APC-7 Section A may be replaced with a fixed 3.05 mm diam-
eter pin, machined precisely to achieve a flat and parallel con-
tact between the film specimen and the terminating Section B.
The diameter of the outer conductor, b, of Section A is
7.0 mm (see drawing in Section 11).
6
Measurement Procedure
6.1 Apparatus
The
measurement requires an automatic
vector network analyzer operating in the frequency range of
100 MHz to 18 GHz, for example an Agilent 8720D or equiva-
lent. The instrument should be equipped with a IEEE 488.2
I/O interface for transferring data between the network ana-
lyzer and a computing unit, e.g., a personal computer (PC)
with a General Purpose Input/Output Board (GPIB).
Connection between the test fixture (APC 3.5 adapter of Sec-
tion A) and the network analyzer shall be made using a phase
preserving coaxial cable, for example an Agilent 85131-60013
or equivalent.
6.2
Calibration Procedure
Set
the measurements range
to be between 100 MHz and 12 GHz. The number of data
points should be in the range of 800. The power level should
be set to 0 dBm with a dynamic range of at least - 40 dBm
(desirably to - 60 dBm ). Select the one Port S
11
measuring
mode
and Smith-Chart format. Connect the phase preserving
cable to the Port-1 of the network analyzer and to Section A
of the test fixture. Attach a calibration standard to Section A
of the test fixture. Perform an APC-7 Open, Load, Short cali-
bration using suitable calibration standards (Agilent 85050B
IPC-25510-1
Figure
1 Test fixture with a test specimen between
Sections A and B
SECTION B
APC-7
Mount
SECTION A
APC-3.5 Port
to Network Analyzer, S
11
Short
Standard
with a Gap
Test
Specimen
Center
Conductor
Pin
IPC-TM-650
Number
2.5.5.10
Subject
High
Frequency Testing to Determine Permittivity and Loss
Tangent of Embedded Passive Materials
Date
07/05
Revision
P
age2of8
电子技术应用 www.ChinaAET.com

7
mm calibration kit or equivalent) in accordance with the
manufacturer specification for the network analyzer. After cali-
bration verify the following:
• The Open Standard produces an ‘open trace’ on the Smith
Chart.
• The Broad Band 50 Ω Standard Load produces a dot trace
located in the middle of the Smith Chart at 50 Ω, with phase
angle equal to zero degree.
• The Short Standard produces a dot trace at 0 Ω, with a
phase angle of 180°.
6.3
Measurements
Determine
the specimen dielectric
thickness, d. The thickness of the sputtered conductor may
be neglected. However, if the specimen was made on a con-
ducting support (see 4.1.2) thicker than 0.5 µm, the thickness
of the bottom conductor should be compensated by adding
an equivalent electrical delay (see 6.3.1.). Verify that the diam-
eter of both electrodes satisfies the required values (see 4.1).
Ensure that the diameter of the bottom electrode facing the
center conductor of Section A is in the range of 3.0 mm to
3.05 mm. Place the test specimen at the center conductor of
Section A. Attach Section B of the test fixture.
Measure the complex scattering coefficient, S
11
.
For a capaci-
tive load (a dielectric specimen), the trace should represent a
semicircle on the lower half portion of the Smith Chart (Figure
2), going from a high impedance region at lowest frequencies
towards a low impedance region as the frequency increases.
The radius of the semicircle represents the reflection coeffi-
cient, which for a loss-less dielectric approaches the value of
one. In the case of an inductive specimen, the trace should
represent a semicircle on the higher half portion of the Smith
Chart, going from a low impedance region, Z ≈ 0 at lowest
frequencies, towards a high impedance region as the fre-
quency increases.
Example measurements obtained for a specimen having the
dielectric thickness of 80 µm, dielectric constant of 69 and the
dielectric loss tangent of 0.0023 are shown in Figure 2. The
trace crosses the zero impedance point at the series reso-
nance frequency, ƒ
LC
,
of 5.1 GHz, beyond which the load
character changes from capacitive to inductive. A local loop
on the chart indicates the first cavity resonance at ƒ
cav
of
14.65
GHz.
After the frequency scan is completed, transfer the entire digi-
tized trace spectrum containing the S
11
amplitude
and S
11
phase
at each measured frequency to a PC via a GPIB link.
6.3.1
Compensation for a Finite Thickness of the Speci-
men Bottom Conductor
Adding
an electrical delay to the
test structure can compensate thickness of the bottom elec-
trode conductor. This procedure moves the reference plane
established during calibration (see drawings of the test fixture
in Section 11), to a new position located at the interface
between the bottom conductor and the dielectric. The plane
should be moved away from the generator a distance equal to
the actual thickness of the bottom conductor. The electrical
delay procedure should be conducted in accordance to the
operating manual for the network analyzer before transferring
the data to a PC.
7
Calculations
7.1 Impedance
Determine
the experimental complex
impedance, Z
in
,
of the specimen at each frequency point, ƒ,
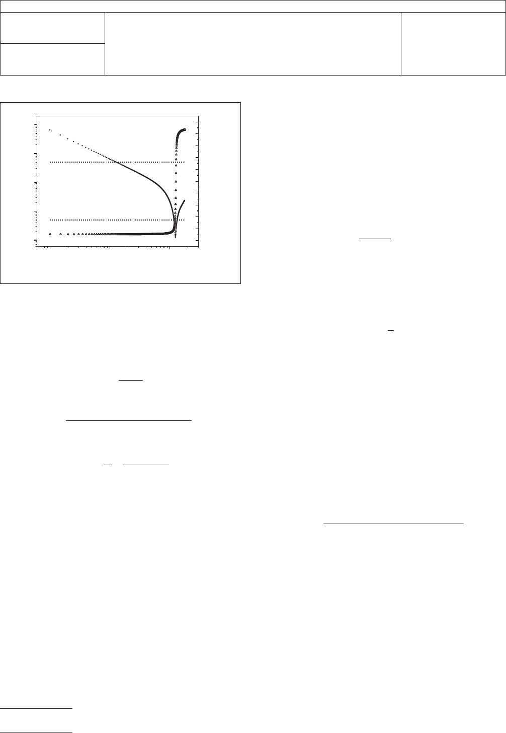
according to Equation (1) presented in 3.7. Example results
obtained for a 25 µm thick dielectric with (ε’ =10andtan (δ)
of 0.01 are shown in Figure 3.
7.2
Specimen Permittivity
At
frequencies where the
specimen may be treated as a lumped capacitance, where |Z|
is larger than 5 Ω (see Figure 3, References [2,3]), the input
impedance is given by Equation (2a) and the real (ε’) and
imaginary (ε’’) component of the dielectric permittivity can be
IPC-25510-2
Figure
2 Example measurements plotted in a Smith chart
Format for an 80 µm thick specimen with permittivity of 69
- j0.16.
0.8
1.5 3.0 7.5
-0.8j
0.8j
-1.5j
1.5j
-3.0j
3.0j
-7.5j
7.5j
100 MHz
5.1 GHz
14.65 GHz
Z
in
~
0
~
IPC-TM-650
Number
2.5.5.10
Subject
High
Frequency Testing to Determine Permittivity and Loss
Tangent of Embedded Passive Materials
Date
07/05
Revision
P
age3of8
电子技术应用 www.ChinaAET.com

obtained
directly from Equations (2b) and (2c) respectively
Reference [2]:
Z
in
s
=
1
jωC
p
ε
r
*
(2a)
ε’ =
−2
|
S
11
|
sin φ
ωZ
0
C
p
(1+2
|
S
11
|
cos φ +
|
S
11
|
2
)
(2b)
tan δ’ =
ε’’
ε’
=
1 −
|
S
11
|
2
−2
|
S
11
|
sin φ
(2c)
where
|
S
11
|
is
the magnitude and φ is the phase of the scat-
tering coefficient, ω =2πƒ is the angular frequency, and C
p
is
the
specimen geometrical (air filled) capacitance (in units of
farads),
C
p
=ε
0
(π a
2
/ 4d)[
F
]
(3)
a is
the specimen diameter, and d is the dielectric thickness
of the specimen (in units of meters). Permittivities ε
0
and ε
r
*
are
defined in 3.1 and 3.2. In Equation (3), the specimen
diameter a =3.0x10
-3
m
(3.0 mm), should match the diam-
eter of the central conductor pin (see 4.1, Figure 1). Note that
the actual diameter of the top electrode may be between 2.85
x10
-3
mt
o3.0x10
-3
m
(2.85 mm to 3.0 mm in 4.1).
In practice, the conventional formulas (2a - c) are accurate up
to a frequency at which the input impedance of the specimen
decreases to about one tenth (0.1) of the characteristic
impedance of the coaxial line, i.e., about 5 Ω. In the example
given in Figure 3, this upper frequency limit is about 1.5 GHz.
Some practical considerations regarding this limitation are dis-
cussed in References [4 and 5].
At higher microwave frequencies, the specimen section filled
with a high-k material represents a network of a transmission
line with capacitance C
p
ε
r
*.
The input impedance, Z
in
s
,
of such
network is given by Equation (4) (see Reference [6]).
Z
in
s
=
x
cot (x)
jωC
p
ε
r
*
+ jωL
s
[Ω]
(4)
L
s
is
the specimen residual inductance,
L
s
= 1.27
10
−7
[H / m]
*
d [m]
(5)
and
the propagation term x is given by (6):
x =ωl
√
ε
r
*
/ 2c
(6)
where, l =2
.47x10
-3
m
(2.47 mm) represents the propaga-
tion length in the specimen section and c is speed of light
(c = 2.99792 10
8
m/s).
At low frequencies, below series reso-
nance frequency, ƒ
LC
,
the propagation term x cot (x)
approaches 1, L
s
can
be neglected and Equation (4) simplifies
to well known formula (2a) for a shunt capacitance, C
p
ε
r
*,
ter-
minating a transmission line.
7.3
Computational Algorithm for Permittivity
Combin-
ing
Equations (1) and (4) leads to Equation (7) that relates the
dielectric permittivity, ε
r
*,
of the test specimen with the mea-
surable scattering parameter S
11
.
ε
r
*
=
xcot (x)
jωC
p
(Z
0
(1 + S
11
) / (1 − S
11
)−jωL
s
)
(7)
Because
the propagation term x depends on permittivity
(Equation (6)), Equation (7) needs to be solved iteratively.
Description of a suitable procedure can be found in the Ref-
erence [7].
According to the Reference [7], the right-hand-side of (7) can
be labeled as ϕ and rearranged into a compact form (7a),
which is more convenient in describing the iterative procedure
shown below.
ε
r
*
= ϕ(
ε
r
*
)
(7a)
IPC-25510-3
Figure
3 Impedance magnitude (circles) and phase
(triangles) for a 25 µm thick dielectric film with ε’ of 10
and tan (δ) of 0.01.
0.1
1 10
0.01
0.1
1
10
100
-
1
00
-80
-60
-40
-20
0
20
40
60
80
1
00
|Z|= 0.05 Ω
|Z|= 5 Ω
Frequency, GHz
Phase (degree)
|Z|= (Ω)
IPC-TM-650
Number
2.5.5.10
Subject
High
Frequency Testing to Determine Permittivity and Loss
Tangent of Embedded Passive Materials
Date
07/05
Revision
P
age4of8
电子技术应用 www.ChinaAET.com