IPC-TM-650 EN 2022 试验方法.pdf - 第557页
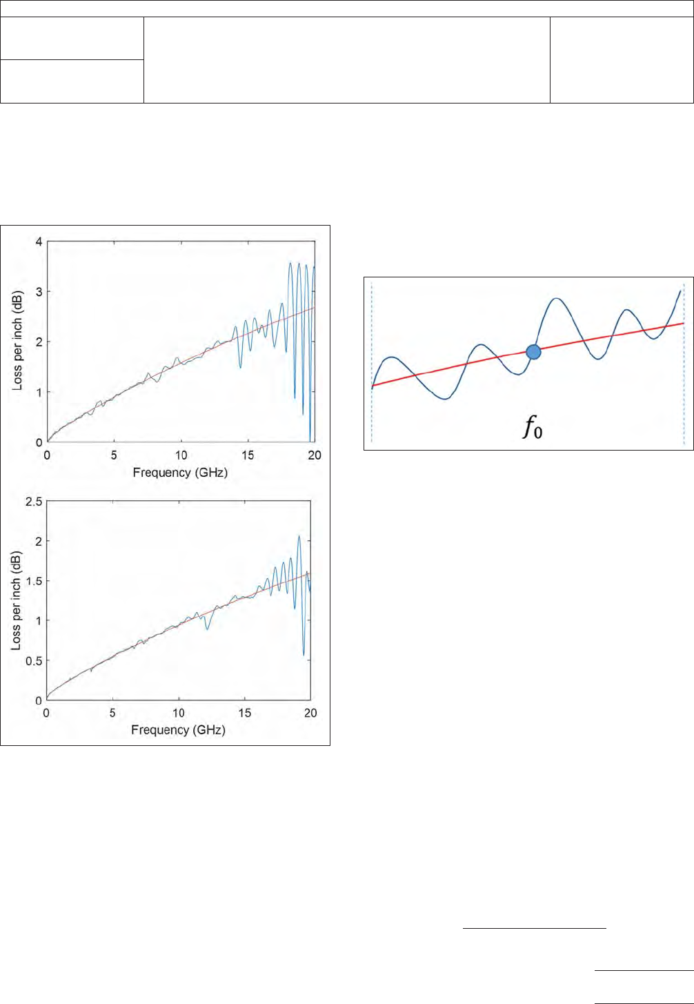
Typical least mean square fit approach is applied to fit the weighted raw data to the target function. Figure 5-4 shows the fitted insertion loss curve for two measurement cases using the procedures described above. 5.4.…

frequencies where the conductor losses dominate. Addition-
ally, in the high frequency range, the smoothing may preserve
unrealistic features of the de-embedded insertion loss.
5.4.2 Cumulative Dielectric and Conductor Loss Fit-
ting
As it has been discussed in [14], the cumulative dielec-
tric and conductor losses can be generally approximated by
IL
dB
(,) = a
√
, + b, + c,
2
(Eq. 6)
where , is the frequency in GHz and a, b and c are constants.
For most of the cases coefficient c << 1 and can be
neglected. Therefore, as a first approximation the total loss
curve can be fitted to
IL
dB
(,) = a
√
, + b, (Eq. 7)
There are number of algorithms that can be used to perform
the printed board loss fit to Eq. 7. One of the most well-known
and widely available algorithms is the least squares fit,
example of which is shown in the Figure 5-2 below.
Even though least squares generally provide a good curve
approximation with the specified behavioral function, there are
many other fitting algorithms that can be applied.
5.4.3 An Alternative Cumulative Dielectric and Conduc-
tor Loss Fitting
Alternatively, when losses cannot be fitted
to the conventional physical based behavioral functions in (Eq.
6) and (Eq. 7), especially when measurement raw data has
high ringing resonances, other empirical approximations can
be used. Fox example, in [15], the following function is set as
the target function for the fitting algorithm:
IL
dB
(,) = a(, – ,
0
)
b
+c(, – ,
0
)
2
+ d(, – ,
0
) + IL
0
(Eq. 8)
The first term represents the AC conductor loss (i.e., the skin-
effect losses), where ‘b’ is an additional fitting parameter
(instead of a constant 0.5 where ideal conductor loss is a
function of ,
0.5
) added to take into account the surface rough-
ness impact of the conductor. The second and the third terms
represent dielectric losses, and the constant represents the
conductor’s DC loss. Furthermore, a certain offset point (,
0
,
IL
0
) is introduced, where ,
0
is the first frequency point of the
measurement. The offset is added to accommodate the fact
that VNA measurements made at the printed board fabricator
usually do not provide results lower than 10 MHz.
The abovementioned methods fit the data to a smooth curve
over the entire bandwidth of the measurement where each
data point is allocated equal weight. As measurement errors
usually increase significantly at high frequencies, a weighting
scheme can be introduced to force the algorithm to prioritize
the curve fitting at the low frequencies and minimize (or ignore)
the impact of high frequency:
W(,) =
(
1–
(
,
,
max
))
3
(Eq.9)
where ,
max
is the maximum measurement frequency. Figure
5-3 shows the suggested weighted function where ,
max
=20
GHz.
IPC-25514-5-2
Figure 5-2 Least Squares Fit Based on (eq. 7) Applied to
a Representative Insertion Loss Curve
Note 1. Red represents the fitted curve.
IPC-25514-5-3
Figure 5-3 The Suggested Weight Function for Insertion
Loss Curve Fitting
IPC-TM-650
Number
2.5.5.14
Subject
Measuring High Frequency Signal Loss and Propagation on
Printed Boards with Frequency Domain Methods
Date
02/2021
Revision
Page8of11

Typical least mean square fit approach is applied to fit the
weighted raw data to the target function. Figure 5-4 shows
the fitted insertion loss curve for two measurement cases
using the procedures described above.
5.4.4 Addressing the Quality of Reported Insertion
Loss
As mentioned previously, when performing measure-
ments on printed board conductors to check whether they
pass insertion loss requirements, printed board testing houses
generally only provide the insertion loss at a few points in their
report. Usually, the reported loss value using the fitted value
provides results with better fidelity compared to the raw data.
Meanwhile, the deviation of the reported values from the raw
data is a good indicator on the quality of the measurement.
The simplest approach to compute the uncertainty at the
selected frequency is to use the difference between the raw
data and fitted results. However, this can be misleading,
which is demonstrated in Figure 5-5. In this case, the devia-
tion of raw data from the fitted curve is zero at the selected
frequency, while it is clear that the measurement quality is not
perfect.
To quantify the uncertainty of the reported insertion loss at the
point of interest it is necessary to analyze the fit deviation in its
immediate vicinity, as shown in Figure 5-5. An ‘error neighbor-
hood’ of±1GHz(can be adjust based on user’s specific
application) is suggested to calculate the fit precision using
the distribution of the residuals within the±1GHzfrequency
range. For frequency points at the lower or upper limit of the
measurement bandwidth, the ± 1 GHz bound can be adjusted
so that the ‘neighborhood error bound’ does not extend
beyond the measurement bandwidth. For example, if the
measurement upper frequency limit is 20 GHz, and the fre-
quency of interest is 19.5 GHz, then the ‘neighborhood error
bound’ is from 18.5 to 20 GHz.
From the fitted curve and the original raw data, the residuals,
ILres(i) are calculated for all the frequency points within the ±
1 GHz range:
IL_res( i )=IL_raw( i )–IL_fit( i ) (Eq. 10)
where IL_raw(i) is the raw data of insertion loss at each fre-
quency points, and IL_fit(i) is the fitted insertion loss. The
mean and standard deviation (σ) of the residual distribution is
calculated, and the uncertainty at given frequency f0 is
defined as:
uncertainty@,
0
=
mean (IL
_res
) +3xσ(IL
_res
)
IL
_fit
@,
0
x 100% (Eq.11)
IPC-25514-5-4
Figure 5-4 Examples of an Alternative Insertion Loss
Fitting using Eq. 6
IPC-25514-5-3
Figure 5-5 Deviation of the Raw Data from the Fitted
Curve at a Single Frequency Point can be Misleading
IPC-TM-650
Number
2.5.5.14
Subject
Measuring High Frequency Signal Loss and Propagation on
Printed Boards with Frequency Domain Methods
Date
02/2021
Revision
Page9of11

Note that an uncertainty estimate of 15% (as an example) is
not meant to suggest that the true insertion loss is within 15%
of the reported value. Rather, the uncertainty estimate is
merely an indicator for the amount of measurement and
de-embedding error evident at any given point.
5.4.5 Determine the Usable Bandwidth of Reported
Insertion Loss
The uncertainty level described in 5.4.4 can
be used to determine the usable bandwidth of the reported
insertion loss. The user can set up an acceptable uncertainty
level based on a specific application, and then examine the
reported insertion loss value at various frequencies, to deter-
mine its usable bandwidth of reported insertion loss (where
the uncertainty level is smaller than the pre-set value).
5.5 Verification of Reported Insertion Loss Due to
manufacturing variation, and the uncertainties associated with
the calibration/de-embedding process, it is desirable to make
multiple measurements of the same coupon design to
improve the confidence of the measurement results. This is
critical when the material is in a qualification stage and the
amount of manufactured coupons is limited.
One simple approach to verify the reported insertion loss is to
design coupons with multiple lengths on the same board: L1,
L2, and L3. The de-embedding process outlined in 1.2.2 and
1.3 can be applied to any two length combinations:
IL
unit_12
=
|e
-γ(L2–L1)
|
L2–L1
(Eq. 12)
IL
unit_23
=
|e
-γ(L3–L2)
|
L3–L2
(Eq. 13)
IL
unit_13
=
|e
-γ(L3–L1)
|
L3–L1
(Eq. 14)
It is desirable to have the reported insertion loss per unit
length being consistent (e.g., within 5% of each other). A large
discrepancy indicates either problems in measurement/de-
embedding procedures, or a large manufacturing variation
across the board. An average of the above insertion loss num-
ber can be used to report the final value.
It is also important to note that keeping a large length differ-
ence between any two lengths among L1, L2, and L3 will also
help to improve the quality of reported insertion loss.
5.6 Temperature Impact of Insertion Loss It is known
that the copper conductivity decreases, and the loss tangent
of dielectric material increases with the increase of environ-
mental temperature. Therefore, the insertion loss increases
with the increase of temperature. Meanwhile, the temperature
impact on insertion loss varies with different printed board
materials.
A Test chamber with variable temperature setting is needed.
A suggested temperature range is 0 °C ~ +100 °C, or other-
wise specified by the tester. Temperature accuracy is<±1°C
of actual set point. Humidity accuracy is<±5%RHofactual
set point, or otherwise specified by the tester.
It is recommended to use phase-stabilized cables for tem-
perature ranges of 0 °C ~ +100 °C, or otherwise specified by
the tester. Figure 5-6 provides an example of a temperature
experiment setup.
The following procedures describe how to quantify the tem-
perature impact for a given printed board material:
1) Set up VNA equipment according to 5.1.
2) Bake the test coupon at 120 °C over 6 hours.
3) Calibration VNA equipment to the end of cable with
co-axial connector SOLT standards, with the cable
stayed outside the environment chamber.
4) Move cable end through the conduit of chamber and
connect to the long trace of DUT inside the chamber.
Make sure the conduit is sealed with thermal resistant
material after the cable penetrates the chamber. (Note:
high temperature resistant cable should be used)
5) Set the chamber to the target testing temperature and
humidity.
6) Wait at least half an hour to ensure DUT is set to the
ambient temperature
7) Conduct measurement and record data.
8) Moving to the next temperature and humidity setting
(Step 5), until results of all settings are recorded.
IPC-25514-5-6
Figure 5-6 Temperature Experiment Setup
IPC-TM-650
Number
2.5.5.14
Subject
Measuring High Frequency Signal Loss and Propagation on
Printed Boards with Frequency Domain Methods
Date
02/2021
Revision
Page 10 of 11